Facebookページ : 北欧、暮らしの道具店 ファン獲得推移/人気書き込み
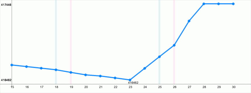
北欧、暮らしの道具店 「北欧、暮らしの道具店」(http://hokuohkurashi.com/)は日々の暮らしの中で道具として使われてこそ輝く、北欧デザインの食器や台所道具、工芸品、ファッション小物などを紹介してゆく目的でオープンしたインターネット上のショップです。 私達は「北欧の暮らしの道具」というひとつのテーマと出会い、掘り下げて (ショッピング・小売り) ファン数 : 417,446人
|
ファン獲得状況 : 「北欧、暮らしの道具店」 いいね!推移(実数値)

デイリーの増加数
